الإجهاد وسعوية كابل أحادي القلب
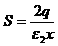
طريقة الحساببافتراض أن الكابل الموضح في شكل التالي له ثابت عزل (e) بدون فقد في القدرة والشحنة هي ( q ) لكل (سم ) من الطول المحوري و بتطبيق نظرية جاوس على اسطوانة دائرية بنصف قطر X نحصل على :
حيث ( S ) هي الإجهاد الكهربي عند مسافة (x) من المحور وإذا كان (E) هو الفرق في الجهد بين الموصل والغلاف من خلال العلاقة:

ومن ثم تكون السعوية لكل سم من الطول هي:
ومن ثم سيتغير الإجهاد من القيمة العظمي عند الموصل لقيمة صغري ( d/D مرة من العظمي ) عند الغلاف. وهناك طريقتان اساسيتان يمكن بواسطتهما الحصول على توزيع أكثر انتظاما للاجهاد وذلك باستخدام طبقات معدنية داخلية ( بينية ) أو باستخدام طبقات من المادة العازلة لها ثوابت عزل مختلفة .
التدرج في السعوية :Capacitance grading
بافتراض أن المادة العازلة تتكون من طبقتين بقطر تقسيم بينهما يساوي 1 وثوابت العزل هي e2, e1 كما هو موضح في الشكل التالي وباستخدام نظرية جاوس يكون الإجهاد عند الطبقة الداخلية هو :
بينما يكون في الطبقة الخاريجة يساوي :![]()


Dr. M. Walid Issa



